---------- Michael Edgeworth McIntyre's home page ------------

-- to quote the late Hermann Bondi, an `opportunity to allow the bees in one's bonnet to buzz even more noisily than usual.'


Gunnar Johansson's `walking lights' demo, courtesy James Maas

Here's a link to my recent Physics Today article Climate tipping points: A personal view. Other recent publications include articles on the missing-forces problem for atmospheric gravity waves and its relation to the Aharonov-Bohm effect, and on Jupiter's unearthly jets and turbulence without cascades. Regarding Jupiter, our arguments for deep-plus-shallow jets, building on those of Dowling and Ingersoll, have been rather well vindicated by evidence from the Juno spacecraft! Here's a copy of my CV with further publications noted, and the corrected transcript of a big biographical interview with the British Library.

And what's the point of the animation above? To find out, click here to preview a new book recently published, called Science, Music, and Mathematics: The Deepest Connections, as recommended on the Shepherd website. Its topics include the way perception works, which among other things points toward the "lucidity principles" that underlie skilful communication.

Related matters are discussed in a 2017 paper On multi-level thinking and scientific understanding, from a conference in honour of the late Professor Ye Duzheng. See also my horribly mislabelled 2016 TEDx talk; the actual title was Science, the Arts, and Lucidity Principles. Some related musical fragments are here. Here's a reprint of my earlier (1999) Kobe Lecture Lucidity, science, and the arts: what we can learn from the way perception works, and a brief commentary on the implications for scientific foresight, published in October 2006 as a Focus article in BlueSci, Issue 7. Also available are electronic versions of the original published papers, Lucidity and Science Parts I, II and III. I gave a related talk, with musical illustrations, at the 2013 Hay-on-Wye Philosophy and Music Festival of the Institute of Art and Ideas. Re the David Crighton memorial concert -- with the family's permission I'm hoping to make it available here soon.

Related to all this is a point raised in the last of Professor V. S. Ramachandran's wonderful Reith Lectures in 2003. On hearing the lectures, I was moved to post here an `Einsteinian footnote' to what was said in the lecture about the ancient problems of `self', `consciousness', and `free will', and the possibility of a solution `staring at us all along'... Basic to it all, though often overlooked, is combinatorial largeness. This includes the unimaginably large number of ways for complex systems to go wrong, a point familiar to computer programmers.


The Earth system is a very complex system indeed but there are some simple, hard facts about it that need wider recognition today. And we scientists haven't pointed them out clearly enough until recently. These facts concern the gas carbon dioxide (CO2) and its role in climate, very different from the role played by water vapour. My latest attempt to get the issues clearly stated is in the Postlude to the abovementioned new book. The discussion emphasizes what we know from studies of past climates, independently of the imperfections of the big climate models.

Also, some years ago I moved my older discussions of these matters to two separate web pages. The first is a little factsheet on CO2 -- a few facts about CO2 that attract no serious controversy. The second touches on some of the wider implications, emphasizing that the climate system behaves in some ways like an amplifier, sensitive to input signals that include adding CO2 to the atmosphere.

Also relevant is an important book documenting some of the reasons for the confusion over CO2 and climate:  Merchants of Doubt: How a Handful of Scientists Obscured the Truth on Issues from Tobacco Smoke to Global Warming, by Naomi Oreskes and Erik M. Conway, Bloomsbury, 2010. There's more about this, too, in my new book, touching on the disinformation profession and its methods and the `postmodernism of alternative facts'.


Understanding the Sun is important too. Here's the latest on the solar tachocline.  WHAT A ROLLER-COASTER RIDE!  See the third and fourth paragraphs below the colour cartoon, now including a set of exact solutions that Toby Wood and I discovered in 2007, modelling the confinement of the Sun's interior magnetic field and involving a nontrivial interplay between magnetic diffusion and the Lorentz and Coriolis forces. This has now been thoroughly investigated and is the subject of a major paper in the Journal of Fluid Mechanics, entitled Polar confinement of the Sun's interior magnetic field by laminar magnetostrophic flow (1.1 Mbyte, © 2011 Cambridge University Press, J. Fluid Mech. 677, 445-482). Here's a reprint of the 1991 `downward control' paper, (2.1 Mbyte, © 1991 American Meteorological Society, J. Atmos. Sci. 48, 651-678) demonstrating the gyroscopically-pumped `Haynes-Spiegel-Zahn burrowing' that's so crucial to our arguments.

Here's a first paper on turbulent mixing in the oceans, entitled On spontaneous imbalance and ocean turbulence: generalizations of the Paparella-Young epsilon theorem (.pdf, 0.125 Mbyte, © 2010 Springer-Verlag). The generalized epsilon theorems constrain turbulent dissipation rates ε in model oceans with realistic, nonlinear equations of state. Together with empirical mixing-efficiency formulae the theorems bear on the `ocean conveyor belt' idea and why it's misleading for some purposes. This is a conference paper published under peer review in Turbulence in the Atmosphere and Oceans (Proc. Intl. IUTAM/Newton Workshop held 8--12 December 2008, ed. D. G. Dritschel, Springer-Verlag, pp. 3-15). Together with Francesco Paparella and William Young I had intended to take the epsilon-theorem work somewhat further, but sadly that project was never completed. A video of my original IUTAM/Newton presentation on this work, and on a recent reassessment of Lighthill imbalance theory, is available from the Newton Institute website. See also a recent talk of mine. Here finally is a scan of my old (1989) paper On dynamics and transport near the polar mesopause in summer (J. Geophys. Res. 94, 14617-14628, .pdf, 1.2Mbyte, © 1969 American Geophysical Union) which relates to the Ellison-Britter-Osborn mixing efficiency formula that's also part of the `conveyor belt' argument. On oceanic diapycnal mixing, see also `DIMBO effect' below.


Here's a brief essay `On thinking probabilistically' (pdf, 0.2 Mbyte)., based on the beautiful theorems of Richard Threlkeld Cox. It is a reprint from the 2007 proceedings of the 15th 'Aha Huliko'a Workshop on Extreme Events held at the University of Hawaii in January 2007. It tries to address some of the most deep-seated difficulties in understanding probability and statistics and, by implication, in understanding science itself. Even more than usual, the difficulties stem from unconscious assumptions. I try to show how all this is related to natural selection and why there's far more to it than the outdated `frequentist versus Bayesian' polemics.

Frequentist thought-experiments are very useful in some circumstances -- an important working tool. But there is, I believe, a serious problem with the old `hardcore frequentism' and its influence on the teaching of undergraduates. The trouble begins with the tacit portrayal of probabilities as absolutes -- as the probability of this or that (i.e., with conditioning statements suppressed). I believe this teaching practice to be deeply confusing, and sometimes very dangerous, as with the notorious cases of unsafe murder convictions via the prosecutor's fallacy and even simpler statistical fallacies (as in the notorious Sally Clark case, the probability that she didn't kill her babies, etc). But the deepest and most dangerous confusion of all comes from the hardcore frequentist or absolutist view of probability values as properties of things in the outside world, or material world -- i.e., as properties of what science calls objective reality.

The `walking lights' display at the top of this page reminds us of how we perceive reality, namely by unconsciously fitting internal mental models to data. Data consist of information arriving from the outside world, such as patterns of light on the retinas of our eyes. Science works in fundamentally the same way, though more slowly and more consciously and with more and better data. So a coherent account of what science is requires us not only to assume that reality exists but also, crucially, to maintain a clear distinction between reality, on the one hand, and models of it on the other. Models -- theories if you will -- are partial and approximate representations of reality, some models being better than others. Probability theory is one of the most powerful tools at our disposal for building good models of reality. Indeed, it's arguably an indispensable tool for that purpose (e.g., p. 158 and footnote 5 of the essay; see also the literature on countless scientific topics including quantum theory, statistical mechanics, noisy dynamical systems, `stochastic parametrization' and stochastic modelling in general). So, in any coherent account of what science is and how it works, probability values and probability distribution functions need to be regarded as model properties, alongside all the other mathematical constructs we use in model-building.

So to insist that probabilities are, on the contrary, properties of things in the real material world is to preclude a clear understanding of what science is. We cannot distinguish between models and reality if the distinction is hopelessly blurred at the outset. And such confusion is incalculably dangerous. That's no exaggeration in a world whose fate depends on a clear understanding of science, and on the wise use of science. Here's a conference talk that pursues these points a bit further (pdf, 1.2 Mbyte), first given on 26 September 2007. See also my new book. (Of course there's no original thought here -- the clarifying ideas go back to Plato, Kant, Laplace and R. T. Cox and have been well vindicated by experimental psychology in recent decades, including systematic and detailed studies of the walking-lights phenomenon.)


Participation in the 2006 Chapman Conference on Jets and Annular Structures in Geophysical Fluids prompted me to make available a scan of my 1970 paper bearing on the anti-frictional self-sharpening of jets (J. Fluid Mech. 40, 273-306) On the non-separable baroclinic parallel flow instability problem, as two .pdf (acrobat) files (ca. 1 Mbyte each, © 1970 Cambridge University Press). Here's the first .pdf file, pp. 273-290, and here's the second, pp. 291-306. Similarly, here's a scan of my 1982 paper to J. Meteorol. Soc. Japan, 60, 37-65, How well do we understand the dynamics of stratospheric warmings?, in which the fully nonlinear jet-sharpening problem is discussed on page 47. The key idea, that jet self-sharpening results simply from potential-vorticity mixing at the side of the jet, is summarized in Figure 5 on that page. This may be the first appearance of the idea in print; and the idea seems to be of generic importance for understanding strong jets, such as the Gulf Stream and the great atmospheric jetstreams, though less so for the weaker jets often found in "beta-turbulence" experiments. Again the full paper comes as two .pdf files: here's the first .pdf file, pp. 37-50 (1.3Mbyte), and here's the second, pp. 51-65 (1.5Mbyte). For a broader view of jets in general see below (Marshall Rosenbluth Lecture and a recent AGU talk). And here is my big Meteorology at the Millennium review encompassing jet-sharpening and global-scale atmospheric circulations and the `solar spinoff' from all this, the breakthrough in understanding the solar tachocline.

Regarding potential vorticity (PV) as such, a review I wrote in 1993, Isentropic distributions of potential vorticity and their relevance to tropical cyclone dynamics, is available via this link along with the big 1985 PV-inversion review with Brian Hoskins and Andy Robertson and other tutorial material. The anti-frictional jet sharpening ideas are developed further, after a historical survey, in a review co-authored by David Dritschel and myself that appeared in the `Jets and Annular Structures' Special Collection of the Journal of the Atmospheric Sciences, 65, 855-874 (2008), Multiple jets as PV staircases: the Phillips effect and the resilience of eddy-transport barriers (.pdf, 1.5 Mbyte, © 2008 American Meteorological Society), including an unconventional suggestion for Jupiter (which, however, now seems superseded by Stephen Thomson's work). Here is an earlier (1990) discussion of eddy-transport barriers. Recent work by Richard Scott and David Dritschel (2012, J. Fluid Mech. 711, 576 ) has greatly clarified the conditions under which jet self-sharpening is or is not strong enough to produce PV staircases.

Here's the written version of my Marshall Rosenbluth Lecture  The atmospheric wave-turbulence jigsaw, as finally published (© 2015 World Scientific). It gives yet another angle on jets, with a plasma-physics audience in mind. Jets are important for heat confinement in the fusion-power machines called tokamaks and stellarators. See also this little talk I gave at the 2011 Fall Meeting of the American Geophysical Union, On jet dynamics and the DIMBO effect: compact pdf without movies and powerpoint version with movies. And NEWhere is the powerpoint for the Haurwitz Lecture to the American Meteorological Society given in June 2013, in which I try to pull some of this together and set it in a wider context: A tale of two paradigms, with remarks on unconscious assumptions.

Basic to much of this is the catalysis of potential-vorticity mixing by a Rossby-wave radiation stress. The simplest explicit example of such catalysis -- and its interplay with the radiation stress itself -- is an old classic, the Stewartson-Warn-Warn problem. A short paper in vol. 15 of ADGEO (Advances in Geosciences), 2008, pp.47-56, gives a review of what's involved in such `catalysis'. The title is Potential-vorticity inversion and the wave-turbulence jigsaw: some recent clarifications (.pdf, 340 kbyte) and the paper includes remarks on `Welander's goldfish'.

Jet self-sharpening, potential-vorticity mixing and angular-momentum changes are interrelated in a subtle way that may appear paradoxical. For instance, the natural jet self-sharpening process causes the jet core to accelerate while reducing the total angular momentum. How this works is clarified in a paper by Richard Wood and myself, A general theorem on angular-momentum changes due to potential vorticity mixing and on potential-energy changes due to buoyancy mixing, (.pdf, 0.8 Mbyte, © 2010 American Meteorological Society), J. Atmos. Sci 67, 1261-1274. Its corollaries include a new nonlinear stability theorem for shear flows.

For light relief, if you fancy it, here's my `geophysical' completion of Lewis Fry Richardson's famous turbulence ditty (like all these things, not completely accurate).

More importantly, here at last are the hyperbalance equations (final version), a new and surprising twist to the story of astonishingly accurate high-order balanced models. The papers have now appeared in J. Atmos. Sci. 64, 1782-1793 and 1794-1810 (June 2007), and reprints are available here. The abovementioned short paper in ADGEO includes a brief summary of the hyperbalance equations (.pdf, 0.16 Mbyte), related in turn to a discussion of the latest examples of imbalance and inertia-gravity-wave radiation -- Lighthill and non-Lighthill -- in J. Atmos. Sci. 66, 1315-1326 (May 2009), in the Special Collection on `Spontaneous Imbalance'. The title is Spontaneous imbalance and hybrid vortex-gravity structures (.pdf, 0.7 Mbyte, © 2009 American Meteorological Society).

Here's the web version of my 2005 lecture to the ECMWF Seminar, Some dynamics that is significant for chemistry, with tutorials on the `polar stratospheric cloud roller coaster' and the gyroscopic pumping of the Brewer-Dobson circulation, and a nod in the direction of Michelson and Morley; see also my Meteorology at the Millennium review.

Here are two papers reporting fundamental advances in wave-mean interaction theory (work with Oliver Bühler, J. Fluid Mech 492, 207-230 and J. Fluid Mech 534, 67-95.   I am also making available here the 1985 McIntyre-Palmer paper justifying, via wave-mean interaction theory, our fundamental definition of wave breaking (pdf file, 0.9Mbyte), and its precursors in Nature (1983, pdf file, 1.2Mbyte), in J. Atmos. Terrest. Phys (1984, pdf file, 1.4 Mbyte), and in J. Fluid Mech.

Here's the stratosphere's `gyroscopic pump' in action, powered by the world's largest breaking waves. This is the real stratosphere, remotely observed from space! For more about gyroscopic pumping and its significance, see below -- also the major review in the Batchelor Millennium Volume Perspectives in Fluid Dynamics (Cambridge University Press), now reprinted in paperback with all corrections incorporated. I have run out of reprints but would be glad to send a xerox copy to anyone who wants one. It tells how three of the greatest atmospheric-science enigmas of the 20th century were solved. The way they were solved beautifully illustrates one of the grand themes of physics, the dynamical organization of fluctuations.

Here is Rupert Ford's last published paper, on imbalance and inertia-gravity-wave radiation and written jointly with Warwick Norton and myself. A Rupert Ford Memorial Fund has been established; for more information go to this page where also, by kind courtesy of Professor E. David Ford, Rupert's remarkable PhD thesis is now available as a searchable pdf.

The related articles for the Encyclopedia of Atmospheric Sciences are here.

Here is the latest on air-sea interaction (fundamental fluid dynamics of wind-generated water waves).

Here's my Plus Magazine article on tsunami waves for the Millennium Mathematics Project.

To see preprints of the McIntyre-Norton and Ford-McI-Norton papers on potential-vorticity inversion and on the slow quasimanifold and Lighthill radiation (which came out in the Millennium May Day issue of J. Atmos. Sci.), click here. There is a small but important CORRIGENDUM here, also in J. Atmos. Sci. 58, 949, 15 April 2001. The original 1996 report with Roulstone on velocity splitting in Hamiltonian balanced models is here. The review with Roulstone, in press for CUP and incorporating the tutorial material from the 1996 report (plus various updates and a primer in Kähler and hyper-Kähler geometry) is now available here; and preprints are still available on request. Also shortly available will be a preprint of the work with Mohebalhojeh on non-Hamiltonian velocity splitting, and a recent conference paper (Limerick Symposium) that tries to summarize our present knowledge of balance and potential-vorticity inversion and some still-outstanding mysteries. This last link also leads to a beautiful animated version of Figure 3 of the conference paper, displaying CRISTA data, by kind courtesy of Dr Martin Riese of the University at Wuppertal.

A few reprints are still available, on request, of my review chapters for Meteorology at the Millennium (Academic Press and Royal Meteorological Society), also downloadable from here, and for Perspectives in Fluid Dynamics (Cambridge University Press), on the fluid-dynamical fundamentals of large scale atmospheric circulations -- anti-friction and all that, now out in paperback. The Millennium chapter was written more specifically for an atmospheric-science audience; in addition, it reviews the recent progress in understanding the solar tachocline in the light of today's knowledge of terrestrial stratospheric dynamics, as described above.

If you plan to buy the Perspectives book (which has other interesting articles, including Chris Garrett's ocean-dynamics review) or consult it in a library, please remember that the wedges in my equations should be read as crosses. They are vector products in 3D, not (associative) exterior products. As far as I am aware, the equations are otherwise correctly printed, but I'd be grateful to be told of any further errors or obscurities that come to light. One further correction: On page 621 I made a rash statement about climate feedback, in which I missed the point that this feedback could be radiatively compensated, through changes in relative humidity. There is a careful discussion in the recent review by Held and Soden (2000), Ann. Rev. En. Env., 25, 441.) The corrections are all incorporated into the paperback edition, and into most of the reprints I have distributed.

To find the polar cooling thought-experiment, click here (2.8K).   This is in section 6 of the review `Atmospheric dynamics: some fundamentals, with observational implications' written for the Proceedings of the International School of Physics `Enrico Fermi', CXV Course, 1993.

For my anonymous ftp site (which has been mirrored on the web server) click here. It holds mostly miscellaneous preprints, corrigenda and reprints, including the `airsea' files (new ideas about wind-generated water waves). NB: some of the files are compressed into the old Unix .Z format. These are recognized, and can be uncompressed, by the standard utility gunzip.

For the Campaign for Science and Engineering (formerly Save British Science), click here, and for related matters here (7K) and here (5K). The last two links point respectively to the celebrated Halloween Documents and Eric S. Raymond's book The Cathedral and the Bazaar. Between them they illustrate why survival of the spirit of open science will continue to be socially and commercially important, and how great will be our peril if we forget this. It is this same spirit of open science, with its remarkable ideal and ethic -- whose problem-solving power was discovered only a few centuries ago, in Renaissance times -- that has made possible an astonishing achievement of recent times:  the development of complex yet reliable software, reliable enough for vast systems like the Internet to function. The Halloween Documents testify to this in an unexpectedly cogent way.

Living organisms are more complex still. The Halloween Documents and related commentaries -- including the story of how the entire Internet nearly came under the control of a single giant corporation, in a parallel to World War Two -- have given us reason to hope that the spirit, ideal, and ethic of open science will sooner or later be recognized in the commercial, as well as in the academic, world as a prerequisite to the safety and reliability of -- for instance -- genetic engineering. Such recognition might help to turn the tide of madness in, for instance, patent law, arguably a major cause of technological hazard. See the important new book by Sulston and Ferry referenced there. This also gives us an insider's view of the human genome project.

Re further hope for the future (Grameen Bank etc), click here (2.9K). Re auditing, Goodhart's Law, and the Summerhill Affair, click here (10.9K).

Back to the workaday present. Here's a link to my draft-revision toolkit, lucidity-supplem.txt (2.7K). Mainly for colleagues and students.

Here's the web version of my lecture notes for the Maths Methods III NST class on small oscillations and group theory, including representation theory and character tables. NST stands for the Cambridge Natural Sciences Tripos. The notes (now with a logical slip on page 40 corrected) can be downloaded as a pdf file (ca. 0.5Mbyte). Here is the first examples sheet for 2008, and here is the second. Note that there's a solution to sheet 2 q6 embedded in the lecture notes, about halfway down page 80.

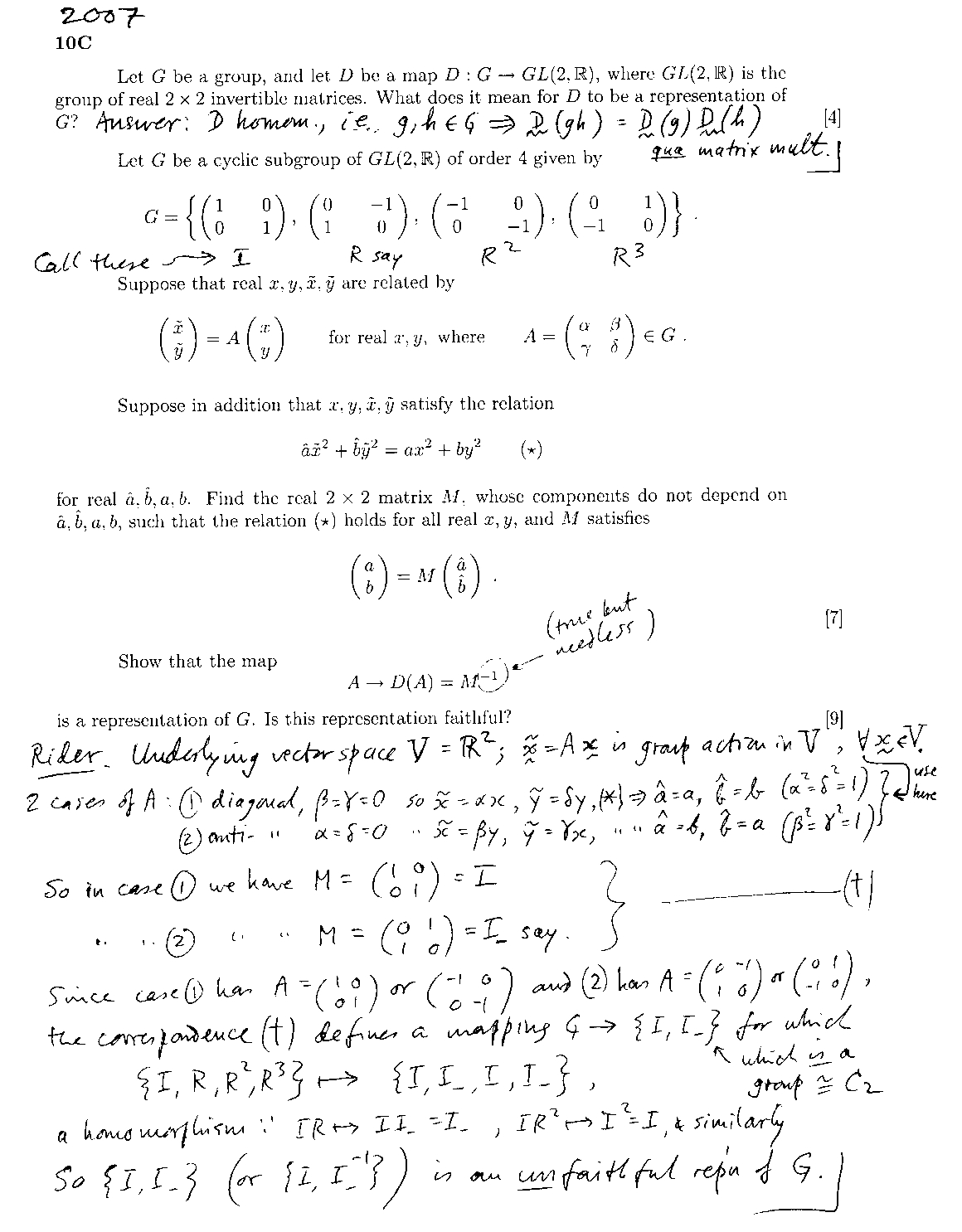
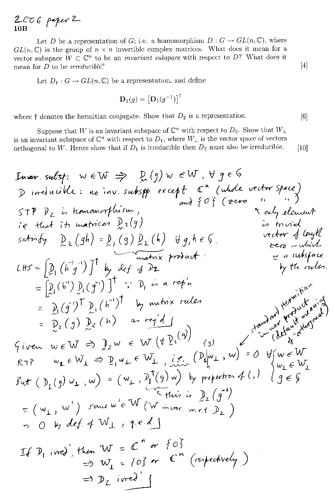
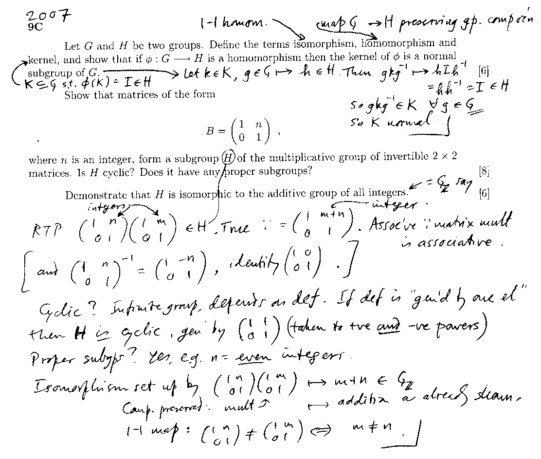
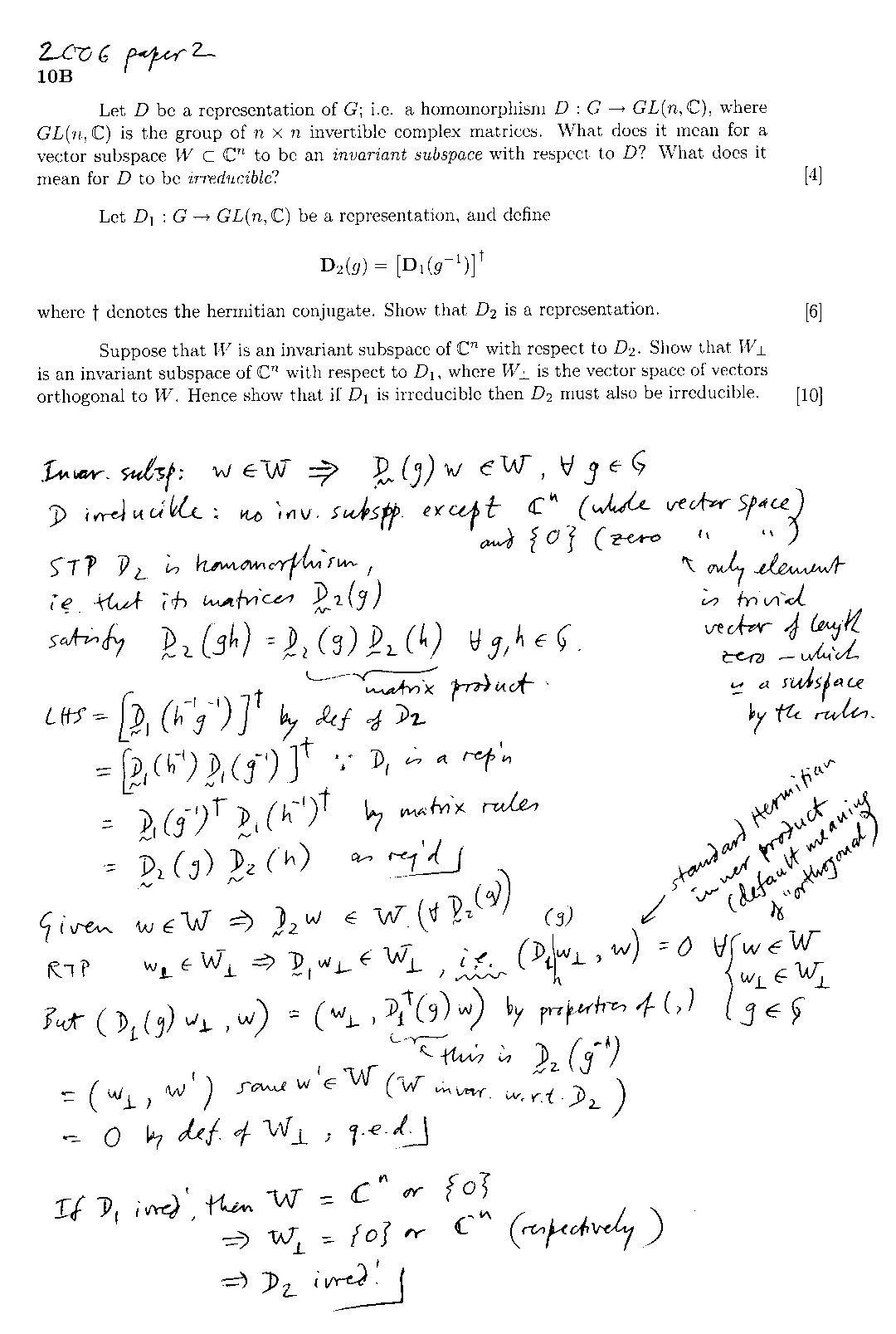
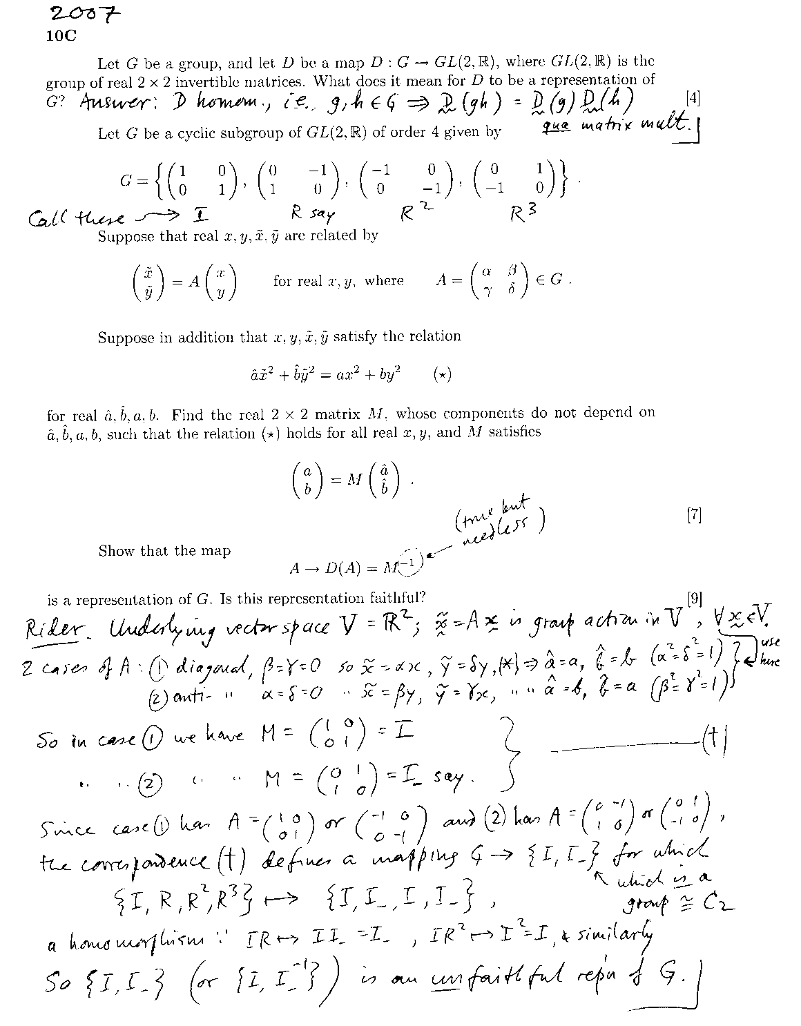
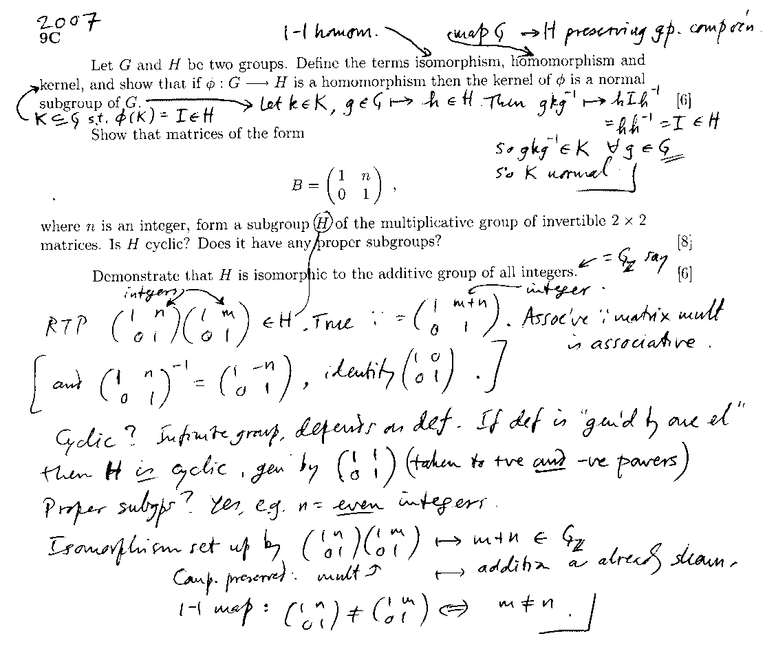
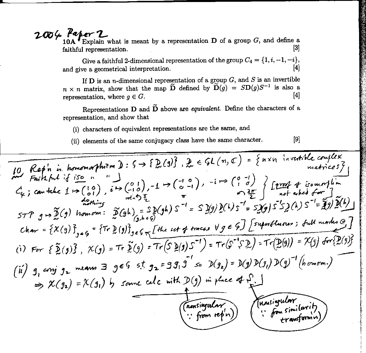
Some worked examples from past exams are here: 2003paper2q8.jpg,   2004paper2q7.jpg,   2004paper2q8.jpg,   2004paper2q9.jpg,   2004paper2q10.jpg,   2006paper2q9.jpg,   2006paper2q9.png (smaller file),   2006paper2q10.jpg,   2006paper2q10.png (smaller file),   2007paper2q8.jpg,   2007paper2q8.png (smaller file),   2007paper2q9.jpg,   2007paper2q9.png (smaller file),   2007paper2q10.jpg,   2007paper2q10.png (smaller file),   2006paper2q8-improved.jpg,   2006paper2q8-improved.png (smaller file).   (In this last, under (ii), after showing that the 5 given elements are distinct an alternative is to consider the group they generate. That's easily shown to have order 9, another contradiction.)

The web version of my Part IB Fluid Dynamics lecture notes (Cambridge Mathematical Tripos, second year) is available here, and my graduate notes on Fundamentals of Atmosphere-Ocean Dynamics here.

I'm also making available some supplementary materials from our annual Summer School in Geophysical and Environmental Fluid Dynamics, including notes on the `counterpropagating Rossby waves' mechanism underlying the commonest shear instabilities. This unique two-week Summer School was first held in September 1991, and then every year up to September 2006. Throughout that time, it attracted many lively graduate students and others from all over the world.   I gave the core lectures on Fundamental Concepts and Processes. After 2006 the Summer School was suspended, having suddenly lost its financial support. To my great joy, however, it has now been revived, for three years so far (September 2012-14), as the Cambridge--École-Polytechnique Summer School in Fluid Dynamics of Sustainability and the Environment. Notwithstanding my advanced age I had the honour of contributing guest lectures on two of these occasions.


Yours truly on 5 June 2012, photo courtesy of Owen Spencer-Thomas

(Yours truly at a Cambridge street party on 5 June 2012, photo courtesy of Owen Spencer-Thomas.)

Research interests

These have been mainly oriented toward understanding the fluid dynamics of the Earth's atmosphere, with emphasis on the stratosphere, at altitudes between about 10 and 50 kilometres, which contains most of the ozone shield. The research group's interests extend also to other parts of the atmosphere and to the oceans, whose fluid dynamics is in many ways fundamentally similar. For instance the way in which the great atmospheric jetstreams keep themselves so remarkably narrow -- a kind of anti-frictional `self-sharpening' process -- is very like what happens with the great ocean currents such as the Gulf Stream and the Kuroshio Current. Recently I have been working on some astrophysical problems as well, to which our terrestrial knowledge has contributed key insights. These include the Sun's differential rotation and the formation of jets on Jupiter.

Our work has helped to explain, for instance, why the strongest ozone depletion occurs in the southern hemisphere, `even though' the chlorofluorocarbons and other chemicals causing it are emitted mainly in the northern hemisphere. This is a story of the epic journeys of atoms and molecules, circumnavigating the globe many times before arriving in the Antarctic polar stratosphere.

Understanding the atmosphere means understanding a nonlinear, multi-scale, chaotically-evolving fluid motion intimately coupled to radiative heat transport and chemistry. Data from modern terrestrial and space-based observing systems tell us a great deal about what happens; and the challenge is to understand why -- a prerequisite to predicting what will happen in future.

Some aspects of the problem are already well understood, but many challenges remain. We try to deploy all the means at our disposal -- mathematical theory, thinking by analogy, testing ideas with numerical experiments, comparison with data and, occasionally, experimentation on a small scale with real fluid-dynamical systems to which an idea under consideration applies. Something that thrills me personally is seeing, with the help of an appropriately general theory, how fluid phenomena you can easily observe in the kitchen sink [see The Quasi-Biennial Oscillation...] can, surprisingly, help to make sense of certain phenomena on the relatively grand scale of the entire atmosphere -- including three particular phenomena that used to be counted among the great enigmas of atmospheric science.

The first is the so-called `quasi-biennial oscillation' (QBO), observed since the early 1950s in the equatorial lower stratosphere, when the operational meteorological network became sufficiently developed. The east-west winds reverse direction roughly every fourteen months, throughout a belt encircling the globe, a remarkable example of order out of chaos and long-term predictability -- and regarding causal mechanisms a total enigma for nearly two decades, whose solution began to emerge only in the 1960s, when I was a graduate student. To see a beautiful laboratory analogue of the QBO (the Plumb-McEwan experiment), including an animated visualization, click here. (If you want to repeat the experiment, first read `Inside Stories'.)

The second phenomenon, and one-time enigma, is that of the extraordinarily low temperatures observed over the summer pole at altitudes just over 80 kilometres. Temperatures as low as 105 Kelvin (minus 168 Celsius) have been observed there -- far lower than anywhere else on, in, or above the Earth, despite the strong solar radiation incident on the summer pole. (Simple geometry shows this solar radiation to be stronger, in diurnal average, than anywhere else on Earth.)

The third phenomenon and, at first sight unrelated, enigma is what used to be called the turbulent `negative viscosity' due to large-scale eddies in the subtropical stratosphere and upper troposphere, and specifically recognized as enigmatic in Edward N. Lorenz' classic monograph `The Nature and Theory of the General Circulation of the Atmosphere', published in 1967 by the World Meteorological Organization in Geneva. This is the same anti-frictional `self-sharpening' process that keeps atmospheric and oceanic jetstreams narrow.

Despite gaps in our understanding we know, today, that all these phenomena result from one basic type of fluid-dynamical process, involving the dynamical organization of fluctuations. This is the systematic, irreversible transport of angular momentum that accompanies the generation, propagation and dissipation of various kinds of internal wave motion (whose propagation mechanisms organize the fluctuations, in the manner reflected in the waves' polarization relations). The waves in question depend on the gravitational restoring force due to the strong stable stratification of the atmosphere. They also, in many cases, depend on the Earth's rotation as well. Wave-induced angular momentum transport is a long-range process and has turned out, in fact, to be a mechanism fundamental to the entire problem of the global-scale circulation, and indeed, contrary to what is sometimes thought, is the main cause of the circulation throughout altitudes between about 10 and 100 kilometres, through a kind of global-scale `gyroscopic pumping'. In the wintertime stratosphere, for instance, complicated, fluctuating fluid motions -- which can be thought of as giant sideways-breaking waves -- conspire to push air persistently westward. And when air is pushed westward the Coriolis effect due to the Earth's rotation tries to deflect it poleward. So there is a systematic mechanical pumping action. This drives what is called the `Brewer-Dobson circulation'. With modern remote sensing, you can now see the real gyroscopic pump in action!

The gyroscopic pumping pulls air gently but persistently upward and poleward out of the tropical troposphere and lower stratosphere, then pushes it back downward toward the extratropical troposphere, the greater part of it through the winter stratosphere via complicated, chaotic pathways. The distinction between tropics and extratropics is, for this purpose, purely dynamical: the tropics feels the Earth's rotation far less. Typical large-scale upwelling velocities in the tropical lower stratosphere (altitudes 15 to 20 km) are seasonally variable roughly from 0.2mm/s in northern summer to 0.4mm/s in northern winter, or roughly 6 to 13 km per year, with the largest values confined mainly to the most intense month or two of the northern winter. This sets the e-folding timescale for removal of chlorofluorocarbons from the troposphere, because rates of land and ocean uptake of chlorofluorocarbons are at least a decimal order of magnitude slower. This means that it would take several centuries for chlorofluorocarbon concentrations to diminish to 1 percent of their present values, if all sources were somehow turned off tomorrow. This same `Brewer-Dobson circulation' plays a large part in determining the rate of replenishment of stratospheric ozone, of the order of megatonnes per day.

Wave breaking, understood in a suitably general sense that becomes apparent from theoretical studies of `wave-mean interaction', plays a crucial role in the wave-induced angular momentum transport. This in itself is a major challenge for theoreticians and numerical modellers. It means for one thing that the atmospheric circulation cannot be thought of as a simple turbulent fluid, to which classic turbulence theories and related concepts like Fickian `eddy diffusivity' or `eddy viscosity' might apply. Rather, the atmosphere viewed on almost any scale confronts us with a highly inhomogeneous, multi-scale `wave-turbulence jigsaw puzzle', in which wavelike and turbulent regions are often adjacent, and influence each other very strongly, and in which the net effect can often be `anti-frictional' -- tending to drive the system away from, not toward, solid rotation. Progress has depended, and will continue to depend, on clever combinations of theoretical thinking and computer modelling, all the way up to high-resolution numerical experiments run on the most powerful supercomputers. All this is very much part of the group's ongoing work under Professor Peter Haynes.

I have written a major review of the fluid dynamical fundamentals, at early graduate-student level, focusing on the three enigmas and forming chapter 11, pp.557-624, of a new book Perspectives in Fluid Dynamics: A Collective Introduction to Current Research edited by G. K. Batchelor, H. K. Moffatt, and M. G. Worster. It was published in hardback by Cambridge University Press in November 2000 and in paperback in January 2003. [As noted above, please kindly read each wedge in the equations as a (non-associative vector-product) cross; I believe the printed formulae are otherwise correct. I'd be glad to send a corrected copy to anyone interested. The paperback edition incorporates these and a few other corrections.] The unifying theme is the fluid dynamics of large scale atmospheric circulations, with a few remarks on the opposite-extreme case of the so called thermohaline, or meridional overturning, circulation (MOC) of the oceans.

Note:  If you are interested in applying to do PhD work here then you may want to look at the relevant administrative information, which is available here.  I'm long retired but the work of the group continues under Professor Peter Haynes FRS, and applications are encouraged from interested people with good degrees in mathematics or physics.


Back to the Atmosphere-Ocean Dynamics home page
Emeritus Professor Michael Edgeworth McIntyre FRS   (M.E.McIntyre at-sign maths.cam.ac.uk,   http://www.damtp.cam.ac.uk/user/mem/), Royal Society page https://royalsociety.org/people/michael-mcintyre-11926/, postal address 98 Windsor Road, Cambridge CB4 3JN, UK.

First posted 2000; last updated 31 March 2024
Valid HTML 4.01!